6 კვირა

5 დეკემბერი ..
.. 11 დეკემბერი

19) ჰიდროქსილის, კარბოქსილის, ალდეჰიდის და კარბონილის ჯგუფები
(სპირტები, ორგანული მჟავეები, ალდეჰიდები და კეტონები)


19) ჰიდროქსილის, კარბოქსილის, ალდეჰიდის და კარბონილის ჯგუფები
(სპირტები, ორგანული მჟავეები, ალდეჰიდები და კეტონები)

        სპირტები (ლათ. spiritus; არაბ. الكحول‎ ალ–კუჰულ) — ორგანული ნაერთი, რომელიც შეიცავს ნახშირბადატომებთან უშუალოდ დაკავშირებულ ერთ ან მეტ ჰიდროქსილის ჯგუფს (‒OH).
სპირტები შესაძლოა განიხილებოდეს HOH წყლის წარმოებულებად, რომელშიც ერთ–ერთი წყალბადატომი ჩანაცვლებულია ორგანული რადიკალით: R‒OH (ნახ 1).

ნახ. 1 ერთფუძიანი სპირტების ჰომოლოგიური რიგის პირველი ოთხი წევრი.

სპირტების საერთაშორისო ნომენკლატურის მიხედვით მათი დასახელების ფუძედ აღებულია შესაბამისი ნაჯერი ნახშირწყალბადი, ალკანი, და დაბოლოება –ოლი, ერთი (‒OH) ჰიდროქსილის ჯგუფის შემთხვევაში. ხოლო მაგალითად ორი ჰიდროქსილის შემცველ სპირტებს ერქმევათ  –დიოლი, სამის –ტრიოლი. ამგვარად ეთილის სპირტის დასახელებებს შორის თქვენ ხშრად შეხვდებით სახელს ეთანოლი. ხოლო ეთილენგლიკოლისას HOC2H4OH კი ეთანდიოლი (ნახ 2).

ნახ. 2 ზოგიერთი მრავალფუძიანი (იგივე "მრავალატომიანი") სპირტების პოლულარული მაგალითები .

 

     ორგანულ ნივთიერებებს, რომელთა მოლეკულებს გააჩნიათ >C=O (კარბონილური ჯგუფი) კარბონილური ნაერთები ეწოდებათ
(ნახ 3). მათ შორის ბიოქიმიისათვის მნიშვნელოვან კლასებს წარმოადგენენ: ორგანული მჟავეები, რთლი ეთერები, ალდეჰიდები და კეტონები.

ნახ. 3 ზოგიერთი კარბონილური ნაერთების ზოგადი სტრუქტურული ფორმულები.

იმ შემთხვევაში თუ კარბონილურ ჯგუფში არსებულ ორივე ბმას უკავშირდება ნახშირწყალბადოვანი რადიკალები RCOR` ასეთ ნაერთს კეტონები ეწოდებათ. თუ ამის ნაცვლად კარბონილური ჯგუფი უკავშირდება ერთ რადიკალს და მეორე ბმით მხოლოდ წყალბადს RCOH ნაერთს მიაკუთვნებენ ალდეჰიდების კლასს, ამასთან თუ კი კარბონილს უკავშირდება ერთი რადიკალი და მეორე მხრიდან ჰიდროქსილი RCOOH, მაშინ ნაერთი მთლიანობაში ცნობილია როგორც კარბოქსილი, რომელსაც შეიცავს ყველა რგანული მჟავა.

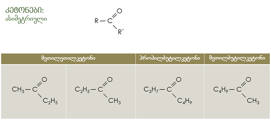
სიტყვა კეტონი ძველ გერმანული Aketon–დან მოდის, რაც მათი ერთ–ერთი ყველაზე პოპულარული წარმომადგენლის, აცეტონის, აღმნიშვნელია. პრაქტიკულია კეტონების დასახელება რადიკალური ნიშნის მიხედვით. ამ დროს ჩამოითვლებიან კარბონილის ჯგუფთან მიერთებული რადიკალები მათი სირთულის ზრდადობის მიხედვით და დასახელების ბოლოს ისმევა დაბოლოება "–კეტონი". იხილეთ ნახ. 4: მაგალითად დიმეთილკეტონი ან დიეთილკეტონი, ერთნაირი რადიკალების შემთხვევაში. ხოლო ამ კლასის ასიმეტრიულ წარმომადგენლების სახელი იქნება მაგალითად მეთილეთილკეტონი ან პროპილბუტილკეტონი.

ნახ. 4 კეტონების მაგალითები.

ალდეჰიდებს საერთაშორისო სტანდარტით ერქმევათ შესაბამისი ალკანისა და დაბოლოება –ალის კომბინაცია. ასევე საყურადღებოა, რომ ალდეჰიდების სახელწოდებებად ხშირად გამოიყენებიან ტრივიალური დასახელებები, რომლებიც ამავე სტრუქტურის მქონე მჟავეებს შეესაბამებიან. მაგალითად ერბომჟავის შესაბამისად ერბომჟავა ალდეჰიდი.

ნახ. 5 ალდეჰიდების ჰომოლოგიური რიგი.

კარბონმჟავეები (ორგანული მჟავეები) – ორგანული ნაერთების კლასი, (ნახ. 6) რომელთა მოლეკულები შეიცავენ ერთ ან რამოდენიმე კარბოქსილურ ჯგუფს (-COOH). უმრავლეს შემთხვევაში მათთვის დამახასიათებელია ისეთივე თვისებების გამოვლენა, როგორებიც არაორგანულ (მინერალურ) მჟავეებს, მაგალითად ლითონებთან, მათ ოქსიდებთან ან (ლითონთა) ფუძეებთან წარმოქმნიან მარილებს (ნახ. 7). წყალში დისოციაციის უნარის გამო ძალუძთ pH–ის დონის დაწევა (მჟავიანობის ზრდა). ხოლო არაორგანულისაგან განსხვავებით ორგანული მჟავეები შემთხვევათა დიდ ნაწილში გასცემენ არა წყალბადს (H) არამედ ჰიდროქსილს (OH), უკანასკნელი თვისება ვლინდება მათ სხვა ორგანულ ნაერთებთან ურთიერთქმედებისას. ხოლო არაორგანულ ნაერთებთან ისინი გამონაკლისის სახით წყალბადს გასცემენ.

ნახ. 6–ში მოცემულია ორგანული მჟავეების ჰომოლოგიური რიგის, ოთხი წევრისაგან შემდგარი, მცირე ბლოკი. აქაც აღსანიშნავია, რომ მოცემული ნაერთების დასახელებებიდან მეტი პოლულარობით სარგებლობენ მათი ტრივიალური დასახელებები ვიდრე სტანდარტული საერთაშორისო შესატყვისები.

ნახ. 6 კარბომჟავეების (ორგანული მჟავეების) ჰომოლოგიური რიგი.

 

ნახ. 7 ორგანული მჟავეების ქიმიური თვისებები
 

ა) ძმარმჟავის ერთვალენტიან ლითონთან ურთიერთქმედების მაგალითზე


 

ბ) ძმარმჟავის ორვალენტიან ლითონთან ურთიერთქმედების მაგალითზე

 

 

 

 განხილული პრეზენტაცია ¹1

 

 

 

 

 

 

 

 პრეზენტაცია ¹2